Head of Haematology and Blood Transfusion at the Lagos University Teaching Hospital Idi-Araba Prof. In 2010 a team at Fred Hutchinson Cancer Research Center reported a striking improvement in survival for patients who had a bone marrow transplant from the 1990s through the early 2000s.
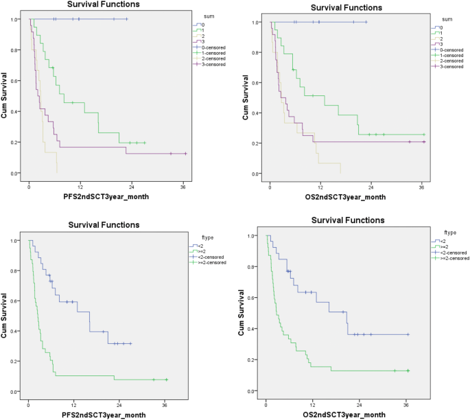
These data extend the findings of others showing that patients with a low disease burden are more likely to benefit from a second transplantation.
Survival rate after second bone marrow transplant. How long can you live after a bone marrow transplant. Understandably transplants for patients with nonmalignant diseases have a much better success rate with 70 to 90 survival with a matched sibling donor and 36 to 65 with unrelated donors. Head of Haematology and Blood Transfusion at the Lagos University Teaching Hospital Idi-Araba Prof.
Sulaimon Akanmu says the survival rate after a bone marrow transplantation. Life expectancy after a bone marrow transplant It has been reported that stem cell transplants for patients who had nonmalignant diseases has shown a much better success rate around 70 to 90 survival with a matched sibling donor while with unrelated donors it was 36 to 65. As compiled by the Centre for International Blood and Marrow Transplant Research CIBMTR analysis 2010-2012 tenure the survival rate of bone marrow transplant was noted to be 717 taking into account several factors such as age the type of disease and donor type.
Among patients who were free of disease two years after transplantation the probability of living for five more years was 89 percent 95 percent confidence interval 88 to 90 percent. The 2-year probability of relapse after transplantation was 42 in patients in remission and 56 in those in relapse P 05. The corresponding 8-year probabilities were 49 and 64 P 04.
These data extend the findings of others showing that patients with a low disease burden are more likely to benefit from a second transplantation. The overall survival rate of patients undergoing a second HSCT after a first autologous transplant was 43. Relapse and relapse free survival Bone Marrow Transplant 1991 7.
A bone marrow transplant can be a lifesaving treatment but it can come with life-threatening risks. The encouraging news for patients. Those risks have been plummeting for years.
In 2010 a team at Fred Hutchinson Cancer Research Center reported a striking improvement in survival for patients who had a bone marrow transplant from the 1990s through the early 2000s. Multiple myeloma survival rate after stem cell transplant - Transplantation of microorganisms the basis for Multiple Myeloma In the transplantation of the microorganisms that are fundamental patients get a measurement of chemotherapy that high now and again with radiation to the whole body to kill cells in the bone marrow count the myeloma cells. The 2-year OS rate after posttransplant relapse was estimated at 19 which falls within the range of rates reported in the existing literature 2 3 4.
It is worth noting that up to 68 of. Head of Haematology and Blood Transfusion at the Lagos University Teaching Hospital Idi-Araba Prof. Sulaimon Akanmu says the survival rate after a bone marrow transplantation.
However among 12 patients transplanted while in remission or at an early stage of their disease 5 are surviving 65 to 1160 days after transplantation with an actuarial survival rate of 22 at 3 years. As a part of this contract CIBMTR provides statistics about autologous related and unrelated allogeneic transplants performed by US. Patient Survival Report View patient survival estimates for a disease and the length of time after transplant.
Median age was 49 years 19-77 years and the median time to relapse was 156 days 12-2465 after HCT. HIDT recipients had similar median time to relapse 58 vs 48 vs 55 months P0638 compared with MUDT and MRDT respectively. One-year PRS was worse among HIDT recipients compared with MRDT and MUDT 17 vs 46 vs 40 P.
Fox Chases transplant program was one of the select few centers to rank as over-performing in both 2019 and 2020. The actual 1-year survival rate for Fox Chase patients receiving their first allogenic transplant was 821 this years analysis concluded. Thats compared to CIBMTRs expected 1-year survival rate of between 624 and 79.
The NMDP found that 75 percent of patients undergoing this procedure at Memorial Sloan Kettering survived through the first year. The predicted rate of survival was 62 percent.